1. Bevezetés
A geometriai feladatok megoldása a komplex számsíkon sajátosan ötvözi mindazokat az előnyöket, amelyeket a vektoros, a trigonometriai és algebrai módszerek, illetve ezek egyidejű alkalmazásai szolgáltatnak. Oldja azt a geometriával szembeni – érzésem szerint egyre erősődő – fenntartást, amely a geometriára fordítható időkeret radikális csökkentésével kialakult tanulókban és tanárokban egyaránt. A bizonyítások tömörek, könnyen éthetőek. Az egész témának van egy belső eleganciája, harmóniája. Ez nagyon hamar magukkal ragadja a tehetséges gyerekeket. Tapasztalataim szerint a gyerekek nagyon megszeretik ezt a témakört.
Az alábbi tárgyalásból a csoport igényei, illetve a tanító tanár elképzelései szerint egyes részek el is hagyhatók, illetve mások részletesebben is tárgyalhatók.
2. Vektorok, geometriai transzformációk
Mindenképpen érdemes a tárgyalást ezzel a résszel kezdeni. Itt közvetlenül használhatók fel a komplex számokkal végzett műveletek tulajdonságai, az egységgyökök. A feladatok mindegyike megoldható tisztán geometriai módszerekkel vagy éppen hagyományosan vektorok forgatásával is. Ehhez a fejezethez tartozó feladatok rövid, diszkussziót nem igénylő, jól áttekinthető megoldásai már meg is mutatják a komplex számok használatának egyes előnyeit.
A legalapvetőbb módszereket egy ismert feladat két megoldásával mutatjuk be.
I. („vektoros”) megoldás.
Legyenek a háromszög csúcsai
és
. Az
oldalra írt szabályos háromszög középpontja
, a
oldalra kifelé írt szabályos háromszög középpontja
, s végül a
-ra írt szabályos háromszög középpontja
pont. Legyen az
irányított szakasz az
,
a
, s
irányított szakasz a
komplex szám. Jelentse továbbá
az első hatodik egységgyököt. Ekkor a vektorok forgatásával - azaz a megfelelő komplex számok
-nal történő szorzásával kapjuk, hogy
,
,
.

Be kell látni, hogy
-os elforgatottja
, vagyis
Ehhez felhasználjuk a következőket:
Egyrészt a hat komplex szám (vektor) összege nulla:
mivel
, így
Másrészt, mivel
hatodik egységgyök
, tehát
Az
nem nulla, emiatt
, illetve
.
Ezután a bizonyítandó egyenlőséget egy oldalra rendezve valóban látjuk, hogy
A másik bizonyítás a későbbi alkalmazásoknál (pl. Newton érintőnégyszögekre vonatkozó tételének bizonyítása) szintén jól használható.
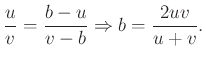
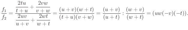
II. („algebra és forgatás egyszerre”) megoldás.
Most kiszámoljuk először a
és
pontokhoz tartozó komplex számokat. A
komplex szám pozitív irányú
-os elforgatottja éppen
. Ezt az
segítségével fel tudjuk írni:
. Ebből
, és ezt követően ugyanígy
és
kifejezhetők:

A
háromszög szabályos, ha a
pont
körüli
-os elforgatottja éppen az
pont, azaz
.

Ezzel a módszerrel sok esetben lehet dolgozni. A teljesség igénye nélkül: pl. Newton érintőnégyszögekre vonatkozó tétele, különféle Ceva-típusú kérdések, háromszögek és négyszögek oldalaira rajzolt háromszögek, négyzetek, szabályos sokszögek kérdései.
3. Körök és húrjaik
3.1. Húrok párhuzamossága

Az
ív egyenlő az
ívvel, tehát
-et ugyanaz az
középpontú forgatás viszi
-be, amely
-t
-be. A két komplex szám hányadosa ugyanaz az egységnyi hosszúságú komplex szám kell, hogy legyen.

A bizonyítás oda-vissza olvasható, ez a párhuzamosság feltétele.
További fontos segédeszközökre is szükség van. Ezek bizonyítása megtalálható több, az irodalomjegyzékben felsorolt helyen is.
3.2. Kör húrjaival kapcsolatos segédeszközök

Ha a húrok merőlegesek, akkor ebből speciálisan:

(Ugyanezt az eredményt kapjuk közvetlenül akkor is, ha
szakasz és a
szakasz felezőpontjaiba mutató vektorok összegét vesszük. )
Két feladat megoldásával itt is ízelítőt adunk a megoldási lehetőségekről.
3.3. Háromszögre vonatkozó ismert feladat
Legyen a háromszög köréírt körének középpontja ismét az
pont, a csúcsok
és
. A három helyvektor összege a magasságpontba mutat, tehát
A magasságpont oldalakra vonatkozó tükörképei a körülírt körön vannak. Két ilyen pontot összekötő szakasz párhuzamos a talpponti háromszög oldalával. A magasságpont
oldalra vonatkozó
tükörképét az
csúccsal összekötve a
és
a kör egymásra merőleges húrjai, így
. Hasonlóan a magaságpont
-ra vonatkozó tükörképe
. Elegendő belátni, hogy az
és
csúcsokhoz tartozó magasságoknak a körrel vett metszéspontjait összekötő húr merőleges a
és
pontokat összekötő átmérőre. A merőlegesség feltételét újra felhasználva:

3.4. Húrnégyszög forgatása
Ismét
középpontú körrel dolgozunk. A négyszög csúcsai
, a forgatást generáló egység-komplex szám
. Ekkor pl.
és
elforgatottja
, illetve
. A két húr metszéspontja:

Rendre kapjuk, hogy
és
. Ebből
, a négyszög paralelogramma.
3.5. További lehetőségek, feladatok
Minden olyan geometriai feladat esetében érdemes ezeket a módszereket is megfontolni, amikor egy körnek közvetítő szerepe van. Például:
- A háromszög magasságvonalai a talpponti háromszög szögfelezői
- Síkbeli egyeneshalmaz talpponti alakzata és metszéspontalakzata
- Simson-egyenes
- Adott körbe írt két egybevágó, azonos körüljárású háromszög megfelelő oldalainak metszéspontjai az eredetihez hasonló háromszöget határoznak meg
- Ennek a háromszögnek a magasságpontja a kör középpontja
- Brocard-féle pontok
4. Köri pontnégyes – kettősviszony
Kicsit szűkebb tárgyalásnál ez a fejezet már el is hagyható. Speciális matematika osztályoknál azonban – véleményem szerint – érdemes ennek a tárgyalása, mert a vetítéseknél, a projektív geometria elemeinek tanulásánál is igen nagy hasznát vehetjük ezeknek az előzetes fogalmaknak,
4.1. Algebrai feltétel arra, hogy négy pont egy körön van

, ezért
vektort ugyanolyan szögű forgatás viszi
-vel párhuzamos helyzetbe, mint
-t az
-vel párhuzamos helyzetbe. Azaz van olyan
egységvektor, hogy
és
, ahol
és
valós számok. Tehát

valós szám.
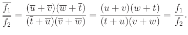
4.2. A kettősviszony
komplex számot, az Ha
valós, akkor
. Az
és
vektorok szöge vagy egyenlő az
és
vektorok szögével, vagy azt
-ra egészíti ki. Így
A kettősviszonyra vonatkozó fenti tételnek a használatára remek lehetőséget kínál a háromszög Simson-egyenesére vonatkozó tétel tárgyalása.
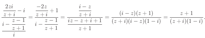
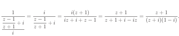
4.3. Simson-egyenes
Bizonyítás: Legyenek az
középpontú körön a háromszög csúcsai
, továbbá
az a köri pont, ahonnan a merőlegeseket állítjuk. A
-ből
egyenesére állított merőleges a kört másodszor
pontban metszi. A két merőleges húr metszéspontja

A másik két talppont:
és
Az
egy egyenesen vannak, ha
valós szám.

A
köri pontnégyes kettősviszonya valós, tehát az
pontok valóban egy egyenesen vannak.
5. Trigonometriai alkalmazások
A nehezebb trigonometriai azonosságok bizonyításával gyakran nehézségek adódnak. A legtöbb bizonyítás nagyon egyedi ötletet, ügyes helyettesítést, és elsősorban a megfelelő sorrendben alkalmazott nevezetes trigonometriai azonosságok használatát követeli meg. Erre is kínálhatunk – sok esetben eredményesen használható – alternatív lehetőséget.
5.1. Trigonometriai számítás komplex számokkal
pontos értékét.
Legyen most
az első hetedik egységgyök:
, és emiatt
. Mivel az
egységnyi hosszúságú, ezért

Ebből már adódik is a sokszor használható formula:

Ezt felhasználva a kiszámítandó kifejezés átírható:

Közös nevezőre hozás után vegyük figyelembe, hogy
, így
![]() |
mivel
és
.
5.2. Szabályos sokszögre vonatkozó feladat
Feltehetjük, hogy a sokszög éppen az
-edik egységgyökök szerint helyezkedik el és
. Tekintsük az
polinomot, amelynek gyökei pontosan az n-edik egységgyökök. A gyöktényezős alakban
az első egységgyök,
:
Osszuk el mindkét oldalt
-gyel:

Számoljuk ki kétféleképpen a
-et:
másrészt a
polinom n tagból áll:
Mindkét oldal abszolút értékét véve a jobb oldali tényezők éppen a
távolságok.
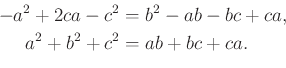
6. Néhány tétel bizonyítása
Ebben a fejezetben néhány olyan tételt mutatunk be, amelyek komplex számokkal is ragyogóan bizonyíthatóak. Egyes bizonyítások már a bevezető szakaszban, mások csak a kettősviszony tárgyalása után kerülhetnek sorra.
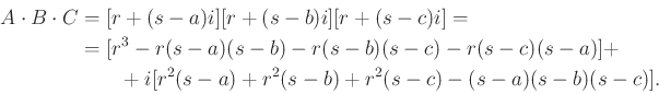
6.1. Heron-képlet

Az ábrán az
pont a beírt kör középpontja,
a beírt kör érintési pontjai,
a beírt kör sugara. Az oldalakat és szögeket a szokásos módon jelöljük. Ismert, hogy az érintőszakaszok
,
és
.
Helyezzük el most az
,
és
háromszögeket úgy, hogy az
pont mindegyik háromszögre legyen a középpontban és a háromszögek
hosszúságú befogója a valós tengelyre essen.

Így az
csúcsoknak megfelelő komplex számok:
A három komplex szám argumentumának összege
.
Szorzásakor az argumentumok összeadódnak, ennek megfelelően a három szám szorzatának képzetes része nulla kell, hogy legyen.
![]() |
A képzetes rész nulla:
Átrendezve és
-sel szorozva
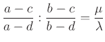
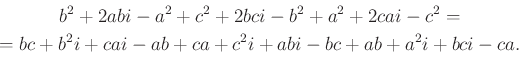
6.2. Ptolemaios-tétel
A műveletek elvégzése után a két oldal pontosan megegyezik. Ez egy algebrai azonosság.
Bizonyítás: Legyen
és
. Osszuk végig az előző feladat azonosságát a
-vel.

A 4. fejezet 4.1. és 4.2. eredményeit felhasználva, továbbá ismerve, hogy a törtek köri pontnégyesek kettősviszonyai, biztosan valósak, sőt a rajz szerint pozitív számok. A három vektor egyező irányú, így az összeg abszolút értéke egyenlő az összeadandók abszolút értékének összegével.
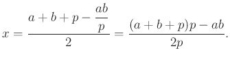
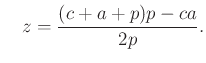
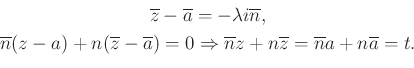
6.3. Newton érintőnégyszögekre vonatkozó tétele
Bizonyítás: Válasszuk origónak a kör középpontját. Legyenek az oldalakon az érintési pontok rendre
és
. Fejezzük ki a csúcsokat az érintési pontok segítségével.
-os pozitív forgatással az
elforgatottja párhuzamos lesz
-val, a
elforgatottja pedig
-vel. Tudjuk, hogy
, így az egyenletrendszerből:
és
,

A többi csúcs ugyanígy:
,
,
.
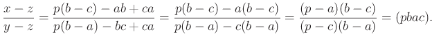
Be kell látni, hogy az átlók felezőpontjai,
,
és az origó egy egyenesen vannak. Az
valós számszorosa
-nek, arányuk valós.

Ez a négy pont is egy körön van, hiszen
és
,
és
átellenes köri pontok. A négy pont kettősviszonya valós.
.
A bizonyítás befejező sora:

Tehát az arány valós.
7. Versenyfeladatok megoldása komplex számokkal
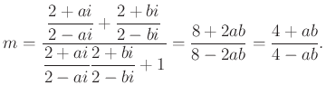
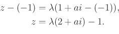
7.1. Kürschak József Tanulóverseny 2003/1.
Legyen a kör egységnyi sugarú, középpontja az
pont. Az ábra jelölései szerint az átmérő végpontjai:
pont az
, az
pont pedig a
pont. Feleljen meg továbbá az
pontnak az
, a
pontnak az
, az
-nek a
, és végül a
-nek a
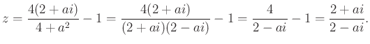
komplex szám. Számoljuk ki a
komplex számot. Egyrészt
,
és
egy egyenesen vannak,
![]() |
Másrészt tudjuk, hogy
.
![$\displaystyle [\lambda(2+ai)-1][\lambda(2-ai)-1]=1 \Rightarrow \lambda=\dfrac{4}{4+a^2}.
$](/images/stories/latex/kissgezarlv/img190.png)
Ebből már
számolható:

A másik metszéspontra:
.
A
négy köri pont. A
és
húrok metszéspontja

Behelyettesítés után

A feladat szövege szerint
rögzített, így ez a pont nem függ az
és
pontok választásától. Az
és
különböző előjelű valósak, így a nevező nem lesz nulla.
A feladat tárgyalását komplex számokkal, továbbá ezt a megoldást Szabó Kristóf 12. C. osztályos tanuló javasolta.
7.2. Arany Dániel Matematikai Tanulóverseny 2017/18. Haladók III. kategória 2. feladat

Legyen a trapézba írt kör középpontja
, sugara
, alapjai párhuzamosak a valós tengellyel,
szára párhuzamos a képzetes tengellyel. A kör érintési pontjai rendre
, az ábra szerint. A csúcsok:
. A
pontot a Newton-tétel bizonyításánál megismert módszerrel írhatjuk fel az érintési pontok segítségével.
pont a kör húrjainak metszéspontja:
.
Számoljuk ki a
szög tangensét:

Végül a
szög tangense:

Az
,
és
pontok egy egyenesbe esnek.
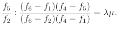
7.3. Egy feladat a KöMaL-ból

Legyenek a négyszög oldalainak és átlóinak felezőpontjai:
. Az
pontot úgy válasszuk meg, hogy az
, illetve az
pontokon átmenő Feuerbach-körök az
-en kívül
-ban messék egymást. (Az
egybe is eshet
-gyel.) Elegendő azt megmutatni, hogy a két kör közös
metszéspontján pl. az
kör is átmegy. A bizonyítás az
körre hasonlóan menne.
Az
kettősviszonyok valósak. Bizonyítandó, hogy az
kettősviszony is valós. Tudjuk, hogy

Szorozzuk össze a két egyenlőséget:

Tudjuk, hogy
, mivel közös alapú háromszögek középvonal-vektorai, és ugyanilyen okból
, továbbá
.
Ezeket behelyettesítve az egyszerűsítés után

ez éppen az
.
8. További lehetőségek
8.1. Háromszögek hasonlósága
Az
és
azonos irányítású háromszögek akkor és csak akkor hasonlók, ha az
vektort ugyanaz a forgatva nyújtás viszi át az
–be, mint amelyik
–t az
–be. Ez azt jelenti, hogy van olyan f komplex szám, amellyel
és
. Ebből pedig

11. feladat.Az
egy közös csúccsal rendelkező egyező körüljárású hasonló háromszögek, továbbá az
csúcsok egy egyenesre illeszkednek. Mutassuk meg, hogy a
csúcsok is kollineárisak.
8.2. Szabályos háromszögre feltétel
Megoldás: Ha az
háromszög szabályos, akkor egyben
és
háromszögek hasonlóak is. Használjuk az előző feltételt:

Beszorzás és rendezés után
![]() |
Mivel az átalakítások oda-vissza elvégezhetők és az
háromszög akkor és csak akkor hasonló a
háromszöghöz, ha a háromszög szabályos, kaptunk egy „kényelmes” algebrai feltételt.
8.3. Szabályos háromszögre vonatkozó feladat
Megoldás: Legyen az eredeti háromszög
, a négyzetközéppontok által meghatározott pedig
. Ha
az
oldal fölé szerkesztett négyzet középpontja, akkor
merőleges
–re és vele egyenlő hosszúságú.

és ugyanígy:
,
.
Annak feltétele, hogy
szabályos legyen
Behelyettesítve és
-nel beszorozva:
![]() |
Rendezve és
-vel egyszerűsítve pontosan:
3. megjegyzés. Az
háromszög szabályosságára ismert másik feltétel: ha
, az első harmadik egységgyök, a háromszög akkor és csak akkor pozitív körüljárású szabályos, ha
.
8.4. Egyenes egyenlete a komplex számsíkon
Legyen egy egyenes normálvektora
, adott pontja
. A
pont az egyenesen van, ha
.
Vegyük mindkét oldal konjugáltját, majd küszöböljük ki a
-t.
![]() |
A
valós szám, mert konjugáltak összege. Az egyenes egyenlete:
.
Megfordítva, ha
és
valós, akkor az
normálvektorú és
pontú egyenes egyenlete

8.5. Kör egyenlete a komplex számsíkon
A
középpontú
sugarú kör egyenlete:
, amit így írhatunk
![]() |
Jelöljük a
valós számot
-sel. A kör egyenlete így:
Megfordítva, ha
, akkor a fenti alakú egyenlet mindig kör egyenlete, mert
helyettesítéssel az egyenlet
alakra hozható. Ha
, akkor a kör átmegy az
ponton.
8.6. Az egyenes és a kör közös egyenlete
Összefoglalva: az egyenes és a kör „közös” egyenlete
alakban adható meg.
Az egyenes esetében
és
.
A kör esetében a kör középpontja
, sugara
.
8.7. Az inverzió
Ha
a komplex számsík nullpontja és az alapkör sugara 1, akkor az inverzió

alakban adható meg. A
és
ugyanazon az
-ból induló félegyenesen vannak: ha
irányszöge
, akkor
irányszöge
és végül a
irányszöge ismét
. Milyen hatással van az inverzió a körre és az egyenesre? Induljunk ki a közös egyenletükből.
Az inverz pontokra

Beszorzás után:
Következtetések:
a) az
-n átmenő egyenes (
,
) képe önmaga;
b) az
-n átmenő kör (
) képe az
-n át nem menő egyenes;
c) az
-n át nem menő egyenes (
,
) egyenes képe az
-n átmenő kör;
d) az
-n át nem menő kör (
,
) inverze az
-n át nem menő kör.
Irodalomjegyzék
- [1] Reiman István: Geometria és határterületei, Szalay Könyvkiadó, (1999)
- [2] Reiman István: Geometriai feladatok megoldása a komplex számsíkon, Középiskolai szakköri füzet (1972)
- [3] I.M. Yaglom: Complex Numbers in Geometry, Academic Press, London, 1968, https://books.google.hu/books?id=LL_iBQAAQBAJ&pg=PR3&lpg=PR3&dq
- [4] Titu Andreescu–Dorin Andrica: Complex Numbers from A to ... Z, Birkhauser, 2006, https://books.google.hu/books?id=XZNCAAAAQBAJ&pg=PR4&dq
- [5] Fazekas M. Gimn. mat. munkaközösség: Matkönyv: Geometria 11.–12., Komplex számok a geomatriában fejezet, http://matek.fazekas.hu/
-
Megjegyzés
A 2018. évi Rátz László Vándorgyűlésen kértek fel a kollégák arra a megtisztelő feladatra hogy adjak egy vázlatos áttekintést arról, milyen fogalmakat és tételeket tanítok, milyen feladatokat dolgozok fel a komplex számok geomteriai alkalamazásairól a speciális matematika tagozaton. Ez a cikk ennek az előadásnak az anyagából született.








![\begin{equation*}\begin{aligned}A\cdot B \cdot C&=[r+(s-a)i][r+(s-b)i][r+(s-c)i]...
...[r^{2}(s-a)+r^{2}(s-b)+r^{2}(s-c)-(s-a)(s-b)(s-c)]. \end{aligned}\end{equation*}](/images/stories/latex/kissgezarlv/img141.png)




